エゼチニブezetimibe(商品名:ゼチーア)を処方したい医師が多い。現在の評価はどうなっているのか?
・二次予防でLDL-Cが高いならば、ezetimibeか、胆汁酸排出促進剤(コレスチラミンなど)を追加する。必ずしもezetimibeが選択される理由はない。(UP TO DATE “Treatment of lipid disorders in secondary prevention”より)
・大動脈弁狭窄症患者において,simvastatin-ezetimibe群は虚血性心血管イベントは抑制したが,大動脈弁狭窄症関連イベントは抑制しなかった。(Intensive lipid lowering with simvastatin and ezetimibe in aortic stenosis. N Engl J Med. 2008:1343-56)
・コクランは、調査中。(タイトルは、”Ezetimibe for primary hypercholesterolemia”)
Intensive lipid lowering with simvastatin and ezetimibe in aortic stenosis.
N Engl J Med. 2008 Sep 25;359(13):1343-56. Epub 2008 Sep 2.
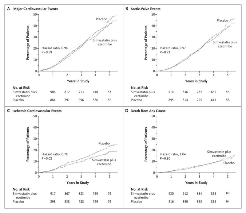
方法)軽度~中等度の大動脈弁狭窄を有し脂質低下療法の適応のない患者1,873人(平均年齢67歳)を、シンバスタチン(1日40mg)とエゼチミブ(1日 10mg)の併用にて強力にコレステロールを低下させる群またはプラセボ群に無作為に割り付けた。
結果)
・複合一次エンドポイント:主要な心血管イベント(LDL低下療法333人対プラセボ355人;ハザード比[HR]0.96;95%信頼区間[CI]0.83~1.12)
・二次エンドポイントである大動脈弁疾患イベント単独(308人対326人; HR=0.97;95% CI=0.83~1.14)は二群間で有意差がなかった。
この併用療法により動脈硬化イベント単独は軽減した(15.7%対20.1%、p=0.02)。治療群では癌発症率が高かった(11.1%対7.5%、p=0.01)→患者数が少なかったため偶然
まとめ)
無症候性の軽度~中等度大動脈弁狭窄患者においてシンバスタチンとエゼチミブの併用療法による強力なLDLコレステロール低下療法は大動脈弁狭窄の進行を抑制しないが心血管虚血性イベントのリスクは軽減しうる。

コメント